98. Validate Binary Search Tree
Problem Statement
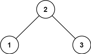
Input: root = [2,1,3]
Output: trueInput: root = [5,1,4,null,null,3,6]
Output: false
Explanation: The root node's value is 5 but its right child's value is 4.Intuition
Links
Video Links
Approach 1:
Approach 2:
Approach 3:
Approach 4:
Similar Problems
Previous653. Two Sum IV - Input is a BSTNext1008. Construct Binary Search Tree from Preorder Traversal
Last updated

