110. Balanced Binary Tree
Problem Statement
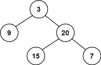
Input: root = [3,9,20,null,null,15,7]
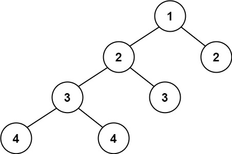
Output: trueInput: root = [1,2,2,3,3,null,null,4,4]
Output: falseInput: root = []
Output: trueIntuition
Links
Video Links
Approach 1:
Approach 2:
Approach 3:
Approach 4:
Similar Problems
Last updated

