222. Count Complete Tree Nodes
Problem Statement
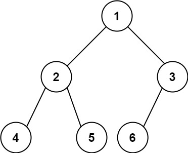
Input: root = [1,2,3,4,5,6]
Output: 6Input: root = []
Output: 0Input: root = [1]
Output: 1Intuition
Links
Video Links
Approach 1:
Approach 2:
Approach 3:
Approach 4:
Similar Problems
Previous863. All Nodes Distance K in Binary TreeNext105. Construct Binary Tree from Preorder and Inorder Traversal
Last updated
