106. Construct Binary Tree from Inorder and Postorder Traversal
Problem Statement
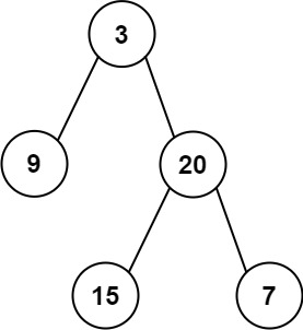
Input: inorder = [9,3,15,20,7], postorder = [9,15,7,20,3]
Output: [3,9,20,null,null,15,7]Input: inorder = [-1], postorder = [-1]
Output: [-1]Intuition
Links
Video Links
Approach 1:
Approach 2:
Approach 3:
Approach 4:
Similar Problems
Previous105. Construct Binary Tree from Preorder and Inorder TraversalNext297. Serialize and Deserialize Binary Tree
Last updated
