662. Maximum Width of Binary Tree
Problem Statement
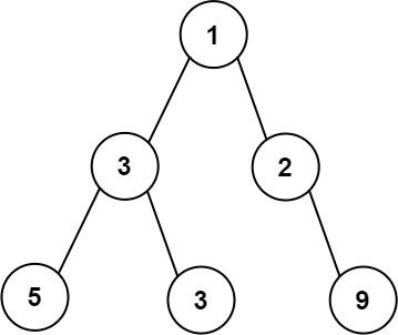
Input: root = [1,3,2,5,3,null,9]
Output: 4
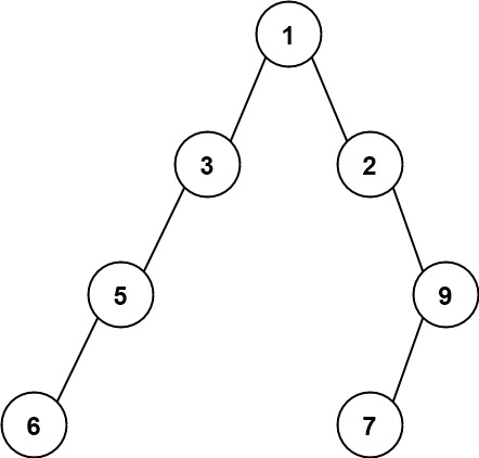
Explanation: The maximum width exists in the third level with length 4 (5,3,null,9).Input: root = [1,3,2,5,null,null,9,6,null,7]
Output: 7
Explanation: The maximum width exists in the fourth level with length 7 (6,null,null,null,null,null,7).Intuition
Links
Video Links
Approach 1:
Approach 2:
Approach 3:
Approach 4:
Similar Problems
Last updated


