114. Flatten Binary Tree to Linked List
Problem Statement
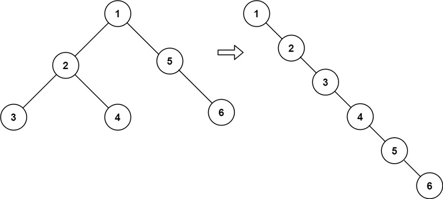
Input: root = [1,2,5,3,4,null,6]
Output: [1,null,2,null,3,null,4,null,5,null,6]Input: root = []
Output: []Input: root = [0]
Output: [0]Intuition
Links
Video Links
Approach 1:
Approach 2:
Approach 3:
Approach 4:
Similar Problems
Last updated
