124. Binary Tree Maximum Path Sum
Problem Statement
Input: root = [1,2,3]
Output: 6
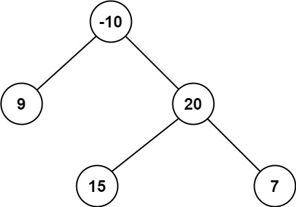
Explanation: The optimal path is 2 -> 1 -> 3 with a path sum of 2 + 1 + 3 = 6.Input: root = [-10,9,20,null,null,15,7]
Output: 42
Explanation: The optimal path is 15 -> 20 -> 7 with a path sum of 15 + 20 + 7 = 42.Intuition
Links
Video Links
Approach 1:
Approach 2:
Approach 3:
Approach 4:
Similar Problems
Last updated

