653. Two Sum IV - Input is a BST
Problem Statement
Given the root of a binary search tree and an integer k, return true if there exist two elements in the BST such that their sum is equal to k, or false otherwise.
Example 1:

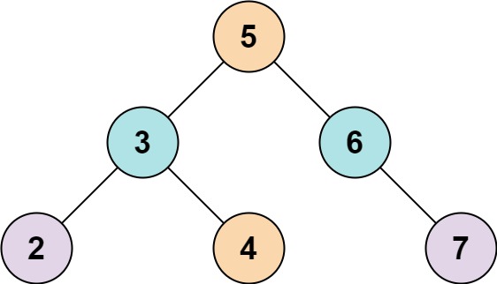
Input: root = [5,3,6,2,4,null,7], k = 9
Output: trueExample 2:

Input: root = [5,3,6,2,4,null,7], k = 28
Output: false
Constraints:
The number of nodes in the tree is in the range
[1, 104].-104 <= Node.val <= 104rootis guaranteed to be a valid binary search tree.-105 <= k <= 105
Intuition
Approach:
Make an inorder and do Two sumLinks
https://leetcode.com/problems/two-sum-iv-input-is-a-bst/description/
Video Links
Approach 1:
Two pointerclass Solution {
public:
vector<int> arr;
void inorder(TreeNode *root){
if(root == nullptr)
return ;
inorder(root->left);
arr.push_back(root->val);
inorder(root->right);
}
bool findTarget(TreeNode* root, int k) {
inorder(root);
int low=0, high=arr.size()-1;
while(low<high){
int sum = arr[low] + arr[high];
if(sum == k)
return true;
else if(sum > k)
high--;
else
low++;
}
return false;
}
};Approach 2:
Hash - Two sumclass Solution {
public:
vector<int> arr;
void inorder(TreeNode *root){
if(root == nullptr)
return ;
inorder(root->left);
arr.push_back(root->val);
inorder(root->right);
}
bool findTarget(TreeNode* root, int k) {
inorder(root);
unordered_map<int,int> mp;
for(auto &it: arr){
if(mp.find(k-it) == mp.end())
mp[it]++;
else
return true;
}
return false;
}
};Approach 3:
Approach 4:
Similar Problems
Last updated