96. Unique Binary Search Trees
Problem Statement
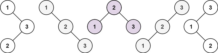
Input: n = 3
Output: 5Input: n = 1
Output: 1Intuition
Approach 1: Formula
/*
2n
C
n
----
(n+1)
Catalan number
Since Double loses precision
We use repetative approach to calculate
nCk
6C3 = 6*5*4/3*2*1
Run for 1 to k
at each step multiply by n and divide by 1
*/
Approach 2 :
Using Dp
Lets take n = 2
1 2
Root as 1 ; Left = 0 right = 1 elements
Root as 2 ; Left = 1 right = 0 elements
n = 3
0 2
1 1
2 0
Add all
So on
Total n elements -> i ) 1 ( n-i-1
Links
Video Links
Approach 1:
Approach 2:
Approach 3:
Approach 4:
Similar Problems
Last updated
